U.S. Internal Revenue Code section 415 limits
Internal Revenue Code (IRC) Section 415(b) limits the annual benefit under a defined benefit plan. Details of assumptions and methodology are provided in the IRC Section 415(b) regulations and applicable Revenue Rulings, Revenue Procedures and Notices, including Revenue Ruling 98-1 and Notice 87-21.
For benefits paid in years 1975 and later, ProVal calculates the applicable limit for each active benefit as:
[Minimum of (1) and (2)] x (3), but not less than (4)
where:
(1) is the dollar maximum at commencement age;
(2) is the salary maximum (highest 3-year average);
(3) is the adjustment by Benefit Definition (usually for payment form); and
(4) is the $10,000 exemption.
Note: In the U.S. qualified and U.S. public pension modes, the 415(b) limit is applied to the benefit at commencement if the Apply 415(b) maximum benefit limit box of the Benefit Definition is checked. In all modes, the operator #MAXBEN can be used within the formula to limit the benefit. In some cases, it may be necessary to use the #MAXBEN operator within the formula (e.g., to limit the benefit at normal retirement age).
The following is additional detail on each of the above items:
Dollar maximum at commencement age
(a) Dollar maximum
The dollar limit is determined when a participant leaves active service. The limit was $118,800 for the annual benefit of a participant leaving in 1994. This limit was projected and then rounded down to a multiple of $5,000 to obtain the rounded historical limits for years 1995 and later. Generally, for years up to and including the year containing the Valuation Date, historical limits are available in ProVal.
For years after the year containing the Valuation Date, unrounded limits are projected, according to the rate(s) specified under the Increase & Crediting Rates topic of your Valuation and/or Projection Assumptions, and rounded down to obtain the rounded limits.
(b) Commencement age reduction/increase
Per IRC sections 415(b)(2)(C) and 415(b)(2)(D) as in effect prior to the Economic Growth and Tax Relief Reconciliation Act of 2001 (EGTRRA, or the 2001 Tax Act), the limit determined in (a) is for benefits commencing as of the participant’s social security normal retirement age. This limit is adjusted for early or late commencement. For early commencement under pre-EGTRRA law, ProVal reduces the limit by 1/15 for each of the first 3 years before social security retirement age, by 1/20 for each additional year to age 62, and according to actuarial equivalence from age 62 to the actual commencement age (if younger than 62).
For early commencement under EGTRRA, ProVal reduces the limit, if benefits commence before age 62, according to actuarial equivalence from age 62 to the actual commencement age. Per Internal Revenue Service Notice 87-21, the adjustment is actually for each month by which commencement age precedes social security normal retirement age (age 62 under EGTRRA), but, because ages in ProVal are rounded to a whole number, ProVal always applies the adjustment for an age difference that is a whole number of years. ProVal then compares the actuarial equivalence factors calculated at ages 62 and earlier to any normalized Plan Reduction factors specified by the 415 limit parameters of each Benefit Definition.For late commencement, if an adjustment is elected on the U.S. 415(b) Maximum Benefit Limit screen (accessed by means of the U.S. Maximum Benefits button under the Regulatory Data topic of Valuation Assumptions), the limit is increased according to actuarial equivalence.
ProVal computes actuarial equivalence according to the mortality and interest rate assumptions entered in the U.S. 415(b) Maximum Benefit Limit dialog box, using annuity factors reflecting either the plan’s benefit payment frequency and timing or an annual payment frequency with beginning of year payment timing, depending upon the user selection, in the same dialog box, for benefit payment frequency and timing. (The default setting for frequency and timing is the plan basis, consistent with illustrations in IRC Regulations, as well as informal indication of IRS expectations with respect to the methodology for computing these annuity factors.)
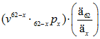
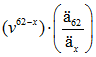
Thus, for example, under EGTRRA law, to obtain the limit applicable at a commencement age x less than 62, ProVal reduces the dollar limit payable at 62 by multiplying by the minimum of
and the normalized to age 62 Plan reduction factors table (if any) specified in each Benefit Definition. To normalize the table, ProVal divides the table value at commencement age by the table value at age 62.Note that under IRS Notice 87-21, mortality can be ignored during the deferral period if there is no forfeiture of benefits upon death. If you choose not to apply a mortality discount, then, under EGTRRA law, the first factor above simplifies to
where:
is an annuity-due commencing at age r;
is the probability of living t years from age r; and
v = 1/(1+i), where i is the interest rate applicable before age 62.
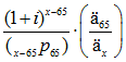
Under EGTRRA law, to obtain the limit applicable at a commencement age x greater than 65, ProVal increases the dollar limit payable at 65 by multiplying by
where:
is an annuity-due commencing at age r;
is the probability of living t years from age r; and
i is the applicable interest rate.
Note: All examples in this article assume actuarial equivalence is based on annual, beginning of year annuity factors. It is more likely, however, that factors reflecting the plan’s benefit payment frequency and timing (typically monthly, beginning of period) would be used.
(c) Participation proration
The limit determined in (b) is prorated for participation of less than 10 years, per IRC section 415(b)(5)(A). Thus the limit is multiplied by:
(years of participation service) / 10, with the result not less than 1/10.
ProVal makes this adjustment based on the selection for the participation (proration) service parameter of the U.S. 415(b) Maximum Benefit Limit dialog box (accessed by means of the U.S. Maximum Benefits button under the Regulatory Data topic of Valuation Assumptions). If “<date of hire>” is selected, then the date of hire specified under the Active Data topic of Census Specifications will be used.
Average salary maximum
Note that, per IRC sections 415(b)(7) and 415(b)(11), this limitation is not applicable to some plans. You may elect whether to apply this limit under the Regulatory Data topic of Valuation Assumptions (U.S. 415(b) Maximum Benefit Limit screen).
(a) Highest 3 year average salary
The highest 3-year average salary, per IRC sections 415(b)(1)(B) and 415(b)(3)(B), is determined as the highest consecutive 3-year average out of the participant’s entire career. If there are fewer than 3 years of service, ProVal averages over the (one or two) available years. ProVal always divides the total salary by a whole number (1,2 or 3) to get the average salary, and the salary for the plan year in which the participant was hired is generally included in the average. (For details, see the Regulatory Data topic of Valuation Assumptions.)
ProVal uses the salary history of the Salary Definition you specify under the Regulatory Data topic of Valuation Assumptions.
(b) Service proration
The limit determined in (a) is prorated for service of less than 10 years, per IRC section 415(b)(5)(B). Thus the limit is multiplied by:
(years of service) / 10, with the result not less than 1/10.
ProVal makes this adjustment based on the date of hire field specified under the Active Data topic of Census Specifications.
Adjustment for payment form
For each Benefit Definition in your Plan Definition, ProVal multiplies the results of (1) and (2) by the Payment Form Factors. (For details, see U.S. 415(b) Maximum Benefit Limit.)
Typically, this topic is used to adjust the limit for a payment form other than a straight life annuity or qualified joint & survivor annuity, per IRC section 415(b)(2)(B). This adjustment can also be used to approximate the reduction due to a combined plan limit, if applicable.
$10,000 exemption
Note that, per IRC section 415(b)(4), this exemption is not available to some plans. You may elect whether to apply this limit under the Regulatory Data topic of Valuation Assumptions (U.S. 415(b) Maximum Benefit Limit screen, accessed by means of the U.S. Maximum Benefits button).
The $10,000 is prorated for service of less than 10 years, per IRC section 415(b)(5)(B). Thus the $10,000 is multiplied by:
(years of service) / 10, with the result not less than 1/10.
ProVal makes this adjustment based on the date of hire field specified under the Active Data topic of Census Specifications.