Life expectancy for actives
Life expectancy for actives reflects the expected lifetime while future benefits are payable. It includes both the expected years as an active plan member and the expected years of benefit receipt after decrement from active status. It is calculated in Valuations and Core Projections and is available in the Output from Valuations, Core Projections, Valuation Sets and Deterministic Forecasts.
Using the life expectancy of all fully eligible plan members (OPEB mode) as the amortization period for prior service costs may be desirable (or required) if all or almost all of the plan members are fully eligible for benefits. Using the life expectancy of all vested plan members as the amortization period for both prior service costs and gains or losses may be desirable (or required) under SSAP 14. Check the rules of the accounting standard you are following for more information. To use the expected lifetime, select the "Life expectancy (actives & inactives)" option for the Amortization basis parameter (found under the Accounting Methodology topic of the Asset & Funding Policy, after you click the Future Amortizations button). In addition, the Future Amortizations dialog box contains a parameter to let you amortize plan amendments using level payments over average life expectancy or declining payments over total life expectancy. You may also choose the method used to calculate the denominator of the average life expectancy. The denominator may be based on either the head count expected to receive benefits or the average head count during the year.
Below is a detail of the calculation. Note that it assumes beginning of year decrements from active status and no adjustment is made for middle of year decrement timing. After the decrement has occurred, deaths are assumed to occur in the middle of the year. The calculation takes into account only the member’s (not the spouse’s) lifetime. Finally, generally speaking, the pension and OPEB mode calculations are the same except that (as with the inactive life expectancy calculation) in OPEB mode the life expectancy excludes post-decrement periods when no benefit is payable (e.g., life expectancy when only a temporary benefit is payable includes only the payment period), whereas in the pension modes if a benefit will be paid (even just a lump sum), the life expectancy includes the entire post-decrement period, both before and after the payment is made.
OPEB mode
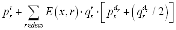
For average life expectancy, each active member’s contribution to the average’s numerator is effectively the expected future service plus the expected post-decrement lifetime during which a benefit will be received. The formulaic representation is as follows:

+

Where:
x = current age (on the valuation date),
m = age when probability of retirement becomes 100%,
t1 = number of years from current age to decrement age,
ω = age when probability of death becomes 100%,
t2 = number of years from decrement age to age at death,
p = probability of survival,
q = probability of decrement,
pd = probability of survival as an inactive,
qd = probability of death as an inactive,
decs = the set of all decrements other than death, and
E(x, r, t1, t2) = 1 if a positive benefit is payable at this or a future age, 0 otherwise.
Each active member’s contribution to the denominator is the probability of decrementing with a benefit, and this can be represented formulaically under each option as follows:
Denominator if the “Headcount expected to receive benefits” option is selected:
![]()
Denominator if the “Average headcount during the year” option is selected:

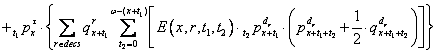
For total life expectancy, each active member’s contribution to the total for the year beginning at time t1 is:


Where:
t1 = number of years from current age to decrement age, and
t2 = number of years from decrement age to age at death.
Pension modes
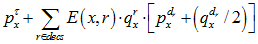
Under the average future lifetime option, each active member’s contribution to the average’s numerator is:

Where:
x = current age,
m = age when probability of retirement becomes 100%,
t1 = number of years from current age to decrement age,
ω = age when probability of death becomes 100%,
t2 = number of years from decrement age to age at death,
p = probability of survival,
q = probability of decrement,
pd = probability of survival as an inactive,
qd = probability of death as an inactive,
decs = the set of all decrements other than death, and
= 1 if a positive benefit is projected to be payable for decrement r, else 0.
Each active member’s contribution to the denominator is the probability of decrementing with a benefit, and this can be represented formulaically under each option as follows:
Denominator if the “Headcount expected to receive benefits” option is selected:
![]()
Denominator if the “Average headcount during the year” option is selected:
![]()
For total life expectancy, each active member’s contribution to the total for the year beginning at time t1 is:

Asset & Funding Policy
Under the Future Amortizations button of the Accounting Methodology topic, there is an option that allows you to select the method used to compute the denominator for the average future service or life expectancy (whichever you have chosen as your amortization basis). The option “Average headcount during the year” is ProVal’s methodology prior to version 3.01. Note that if you select “Average headcount during the year”, results under the amortization basis (either average future service or life expectancy) might not match the Output values for your Valuation or Core Projection, because the Valuation or Core Projection run had calculated the average using the “Headcount expected to receive benefits” option. For more information, see the What’s New article for ProVal Version 3.01.