Decrements: rates vs. probabilities
In all modes other than the German pension mode, active decrements can be specified as rates, as probabilities or as mortality rates with probabilities for the other causes of decrement. The German mode parameters are specified differently and are discussed in a separate section of this article (immediately below discussion of the other modes).
All modes other than German pension
If you choose:
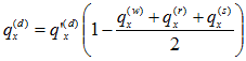
All (rates), ProVal will transform the rates into probabilities, accounting for the fact that decrements are "competing" in a multi-decrement environment. This says that the values you’ve entered in your reference rate tables reflect a single-decrement environment and hence are absolute rates of decrement that need to be adjusted. The premise underlying the need for adjustment is that the probability of occurrence of one decrement is not independent of the probability of occurrence of a different decrement.
The method used to adjust rates into probabilities depends on whether termination rates cease or continue after retirement eligibility (i.e., whether the box to continue termination after retirement eligibility is unchecked or checked, respectively, in Valuation Assumptions and/or Projection Assumptions), as described below.
In these formulas,
(qx “prime”) represents the absolute rate of decrement for (r) = retirement, (w) = withdrawal, (d) = death, and (s) = disability; and
represents the multiple-decrement probability of decrement.
For information regarding the case that "rates by benefit" have been assumed (e.g., the disability decrement is the sum of different disability rates for disability in the line of duty and other causes), see the article titled Decrements: rates by benefit.
None (probabilities), ProVal will use the decrement rates exactly as they were specified in the Reference Rate Table Library. This says that the values you’ve entered in your reference rate tables already reflect the fact that decrements are "competing" in a multi-decrement environment. Thus no adjustment is needed and the probability of occurrence of one decrement, as entered in your table, is independent of the probability of occurrence of a different decrement.
Mortality only, ProVal will transform the mortality rates into probabilities but use the other decrement rates exactly as they were specified in the Reference Rate Table Library. Mortality rates are transformed into probabilities as follows:
For beginning of year decrements, mortality exposure is reduced by the sum of the other decrements.
For middle of year decrements, mortality exposure is reduced by one half the sum of the other decrements.
German pension mode
Active decrements are adjusted automatically according to one of two methods: retirement and termination rates are either entered as dependent probabilities or as independent rates. Regardless of the method selected, mortality and disability rates considered pre-adjusted for competition with each other, and so are mortality and termination rates.
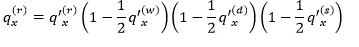
For decrements directly from active service, if the Valuation Assumptions parameter Retirement and Termination rates entered are is set to Dependent probabilities, then:
is read directly from the table entered, without adjustment
is read directly from the table entered, without adjustment
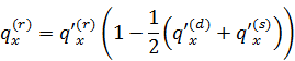
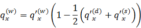
and if the Valuation Assumptions parameter Retirement and Termination rates entered are is set to Independent rates, then:


,
where the “prime” superscript indicates that this “q” (or probability) represents the absolute rate of decrement for retirement (r), withdrawal (w), death (d) and disability (s).
Note that the formulas above apply only to years in which the probability of retirement is less than 100%. When the retirement probability is 100%, all other decrement probabilities are assumed to be zero.
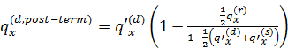
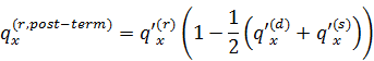
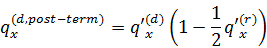
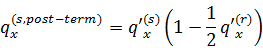
For post-termination decrements (“second decrements”), the termination decrement no longer exists, and therefore only retirement, death and disability are considered. There are also special adjustments in the year of termination. Because termination and retirement decrements are mutually exclusive, the probability of retirement in the year of termination is zero. Also, because terminations are assumed to occur mid-year, death and disability decrements are adjusted to reflect the remaining one-half year of exposure in the year of termination.
For post-termination decrements in years after the year of termination, if the Valuation Assumptions parameter Retirement and Termination rates entered are is set to Dependent probabilities, then:
is read directly from the table entered, without adjustment

and if the Valuation Assumptions parameter Retirement and Termination rates entered are is set to Independent rates, then:

![]()
![]()
In other words, the formulas for post-termination decrements in years after the termination year are the same as those for decrement from active service, except that the probability of termination is zero. (Therefore, the resulting probability may be different.)
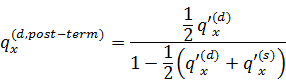
For post-termination decrements in the year of termination, the retirement rate is treated as zero, and the parameter Retirement and Termination rates entered are is therefore not relevant. The formulas for decrement probabilities in these years are:
![]()
